小角 X 射线散射仪
比表面积是多孔材料的关键参数之一,因此快速可靠的测定,对于开发此类材料以及在生产过程中的质量控制非常重要。在这里,我们展示了如何将小角 X 射线散射(SAXS)作为一种快速可靠的方法来确定介孔可控孔玻璃(CPG)样品的比表面积。所得的 SAXS 结果与物理气体(Ar 87K)吸附所得的比表面积非常一致。

多孔材料的应用非常广泛。其独特的性能,可用于能源储存、建筑材料、催化剂等行业。 广泛使用的评估多孔材料表面积的标准方法是基于 Brunauer-Emmett-Teller (BET) 方法的气体(例如氮气或氩气)吸附分析。然而,这种方法存在一些局限性:
样品制备时间长
测量时间长
仅适用于无孔和介孔/大孔材料
表面积结果的准确性取决于使用正确的吸附剂
小角 X 射线散射 (SAXS) 是广泛应用于表征纳米材料尺寸、形状和更多结构特性方法。
SAXS 具有几个优点:
无需样品制备
一种非破坏性方法
测试时间短
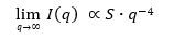
SAXS 确定表面积的理论基础是 Porod 定律,该定律描述了散射强度 I(q) 随着散射矢量 q 的逆四次幂逐渐向大散射角衰减。X 射线束照射的样品体积内的总表面积 S 是一个比例因子:

为了从 SAXS 数据得到比表面积,应用主方程

其中包括确定常数背景项 A 和 Porod 常数 K。
在实际中,用于确定质量比表面积(Sm)或体积比表面积(SV),有以下两种方法:
Invariant (K/Q) method 不变量法
Absolute-scale method 绝对标度法
本研究展示了使用 Anton Paar 的小角 X 射线散射仪 SAXSpoint 5.0 仪器对可控孔玻璃粉末样品的 SAXS 测试。测试的 SAXS 数据根据 ISO 208044 进行处理,以确定比表面积。
实验
结论