多年来二氧化钛因其色彩亮白、折光率高,在众多行业中广泛用作色素和乳浊剂。尽管使用广泛,但由于极其强的粘性,处理粉体形式的二氧化钛通常极具挑战性。在操作中使用该材料时 (例如,从料斗散落,进料到单元操作中以及与其它粉体混合),通常需要采取特殊措施。
识别和量化工艺中与最优性能相关的粉体属性,并用以优化新配方,从而避免花费高昂的成本使样品经历整个加工过程来评估适用性,大大节省时间和原材料,同时最小化了不合规范产品的浪费。

评价批次间差异
尽管三个批次的二氧化钛都满足现有的技术规格,在相同的过程中表现出了明显不同的行为,导致最终产品的质量出现了不可接受的偏差。使用一系列传统的表征技术对此进行分析,但未能区分出三个批次的差异,一部分的原因是测试结果的变量太多。
转而使用FT4 粉体流变仪®分析各批次样品,都可观察到清晰、可重复的差异,对过程性能的差异给出合理的解释,以便用户未来能可靠地评估不同批次工艺相关的质量。
测试结果
动态测试:基本流动能
在三种材料中,样品B产生的BFE最高,样品C的最低。在该案例中,由于粉床更高效地排列,因此具有较高的BFE,意味着桨叶移动时,需要排开更多的粉体,可供颗粒进入的空间更少。这导致移动粉床需要更多的能量,表明在动态、强制流动的条件下 (例如,螺旋加料器中) 粉体可能发生问题。

整体测试:透气性
在三种材料中,样品B的压降最低,样品C的最高。高压降表明气流通过样品时受到的阻力更大,即透气性更差。样品B的低压降 (高透气性) 通常是因为结构均匀,粉床有效地排列,通常与改善低应力环境下 (例如,填充操作) 重力流动有关。

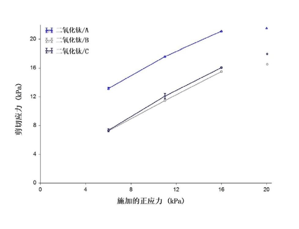
剪切测试:剪切池
在剪切池结果中观察到了不同的趋势,这是由于该测试方法所采用的不同应力和流动状态所决定的。剪切池测试旨在代表操作中所经受的高应力、静态条件,例如,料斗重力卸料。与其它两个样品相比,样品A所产生的剪切应力值明显较大,表明在存储固结时更难以发生起始流动 (从静态转变为动态)。样品B和C所产生的剪切应力值接近,说明两者在这些条件下的表现差不多。

结论
FT4可清晰、重复地量化三种样品的动态、松装和剪切特性之间的差异。样品B所产生的基本流动能和透气性值最高,剪切应力值较低,可知与其它两个样品的表现截然不同。样品A和C的结果说明,与样品B相比,两者在一系列过程中表现出更强的粘结行为:样品C所产生的BFE和透气性值最低,说明在低应力的过程 (例如,混合和填充) 中的粘性最强,样品A产生的剪切应力值最高,说明在高应力操作 (例如,料斗卸料) 中最难以流动。
粉体流动性并非材料的固有属性,而是粉体在特定设备件中以所需方式流动的能力。成功的加工过程需要粉体与工艺的完美匹配,相同的粉体在一个过程中性能良好,而在另一个过程中却不佳的情况并不罕见。这表明,需要多元表征方法,得出的结果能够与工艺评估相联系,从而构建对应于可接受的工艺行为的参数设计空间。FT4多元方法模拟一系列单元操作,从而直接研究粉体对各种工艺和环境条件的响应,而不是依靠单一的特性表征来描述所有的过程行为。
关于麦克默瑞提克
Micromeritics 是提供表征颗粒、粉体和多孔材料的物理性能、化学活性和流动性的全球高性能设备生产商。我们能够提供一系列行业前沿的技术,包括比重密度法、吸附、动态化学吸附、压汞技术、粉末流变技术、催化剂活性检测和粒径测定。
公司在美国、英国和西班牙均设立了研发和生产基地,并在美洲、欧洲和亚洲设有直销和服务业务。Micromeritics 的产品是全球具有创新力的知名企业、政府和学术机构旗下 10,000 多个实验室的优选仪器。我们拥有世界级的科学家队伍和响应迅速的支持团队,他们能够将 Micromeritics 技术应用于各种要求严苛的应用中,助力客户取得成功。