差示扫描量热仪
在核酸递送载体LNP/AAV表征中的应用
#本文由马尔文帕纳科医药行业业务发展专家范洋晶供稿

自 2019 年新冠疫情在全球爆发之后,以 mRNA 为代表的核酸疫苗/药物受到了广泛关注。目前已有多款核酸药物获批上市,mRNA 疫苗也成为FDA批准的首款COVID-19疫苗。在体内,核酸容易被免疫系统的细胞吞噬,并被核酸酶降解,所以需要递送技术的配合,将核酸递送到靶细胞中。有效的体内递送是核酸疫苗/药物发挥疗效的关键,目前常用的核酸递送载体包括病毒载体和非病毒载体。
病毒载体在核酸递送领域已有较长历史,主要有重组腺相关病毒(rAAV)和慢病毒类的病毒产品。脂质纳米颗粒(Lipid Nanoparticles,LNPs) 主要由可电离阳离子脂质、胆固醇、中性辅助磷脂和聚乙二醇修饰的磷脂(PEG-脂质)组成,是目前递送 mRNA 最主流的非病毒载体之一。由于其固有的结构复杂性,在产品开发和过程控制期间,核酸递送载体的设计、表征和质量控制都需要有效的分析工具。
差示扫描量热法(Differential Scanning Calorimetry, DSC)是在程序控制温度下,测量样品池与参考池之间的功率差与温度的关系。MicroCal PEAQ-DSC 微量热仪是表征蛋白质等生物分子热稳定性的强有力的工具,主要用于生物制药研发和生产。
MicroCal PEAQ-DSC 系统易于使用,无需标记或固定,既可用于常规稳定性研究,生物相似性和批次间一致性评价以及纯化和生产条件的优化,在核酸递送载体的生物物理表征中也有很好的表现。
01
应用一
MicroCal PEAQ-DSC表征
mRNA-LNP样品的热转变可逆性和重复性
MicroCal PEAQ-DSC用于分析 mRNA-LNP 以及游离的 mRNA 样品。使用专用的PEAQ-DSC分析软件对数据进行分析,对样本的 DSC 热力学图谱进行基线校正后,计算热转变温度 Tm 值和热力学焓变ΔH。
借助 DSC 可以更好地了解 mRNA 和 LNP 的热力学转变。
典型的 mRNA 具有与茎环状结构展开相关的热转变,DSC 能够检测出这些不同的峰。如左下图所示,在不同 pH值下,mRNA-LNP 表现出许多不同且又重叠的热转变,表观焓也有明显差异。DSC能够分离多个不同的热转变峰,而右下图的圆二色光谱(Circular dichroism, CD)不够敏感,无法识别。

通过在每次DSC扫描样品后进行重新扫描,对样品进行热转变的可逆性测试。下图显示了第一次扫描和重新扫描后的 mRNA-LNP1 和游离 mRNA 样品的 DSC 图谱。结果表明 mRNA-LNP1 样品的热转变峰是不可逆的,在重新扫描时并不会重现。相反,游离 mRNA 样品在 65℃ 的热转变峰显示出约 40% 的可逆性。

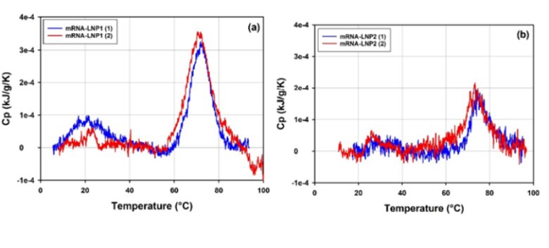
下图为两种 LNP配方不同的 mRNA-LNP1和 mRNA-LNP2 的 DSC 热力学图谱,均展示了良好的可重复性。

01
应用二
MicroCal PEAQ-DSC表征
rAAV5样品的热稳定性
MicroCal PEAQ-DSC用于分析空的和载有核酸的 rAAV5 样品的热稳定性,如下图所示,他们对热应力表现出不同的响应。空的 rAAV5 样品似乎更容易发生热不稳定,并且可以观察到在主热转变温度前的预过渡峰。而在载有核酸的 rAAV 样品的 DSC 图谱中,可以在 94.7℃ 左右检测到一个额外热转变峰,这种额外的较高温度转变与 rAAV5 的血清型特异性 Tm 值明显不同,可归因于 rAAV5 衣壳崩解后释放的核酸分子的结构转变。

结论
Conclusion
综合应用多种分析技术对核酸递送载体进行全面的物理和化学属性表征,对实验结果进行合理的解释,这对于指导核酸疫苗/药物的设计,优化生产过程,并确定最终产品的稳定性都是非常重要的。
马尔文帕纳科所提供的 MicroCal PEAQ-DSC 仪器能够非常精准地评估 mRNA-LNP 和 rAAV 样品的热转变可逆性、重复性和稳定性等,为基于病毒和非病毒载体的新型核酸疫苗/药物平台发展提供了有力保障。
参考文献
[1] Markova N, Cairns S, Jankevics-Jones H, et al. Biophysical Characterization of Viral and Lipid-Based Vectors for Vaccines and Therapeutics with Light Scattering and Calorimetric Techniques. Vaccines (Basel). 202; 10(1): 49.
[2] Larsona NR, Hua G, Wei YJ, et al. pH-Dependent Phase Behavior and Stability of Cationic Lipid−mRNA Nanoparticles. J Pharm Sci. 2022; 111(3): 690-698.
相关产品

PEAQ-DSC 差示扫描量热仪
新一代的MicroCal PEAQ-DSC系统即使对于非常稀释的蛋白溶液,仍能检测出微弱的热量变化,并利用这些信息准确地表征需要分析的分子的热稳定性。
DSC所提供的热稳定性信息被业内视为“金标准”技术,是一种非标记、全局性的数据,可被应用在生物制药及小分子药物研发和生产中,在学术领域研究分子间相互作用时也可发挥强大的作用。
关于马尔文帕纳科
马尔文帕纳科的使命是通过对材料进行化学、物性和结构分析,打造出更胜一筹的客户导向型创新解决方案和服务,从而提高效率和产生可观的经济效益。通过利用包括人工智能和预测分析在内的最近技术发展,我们能够逐步实现这一目标。这将让各个行业和组织的科学家和工程师可解决一系列难题,如最大程度地提高生产率、开发更高质量的产品,并缩短产品上市时间。