Ø 研究背景:
磷酸铁锂在新能源电池领域具有广泛的应用前景,它的原材料来源广泛,成本相对较低,在钴、镍等原材料价格上涨的情况下,磷酸铁锂的成本优势更加突出。且磷酸铁锂的安全性高,稳定性好,不易发生燃烧和爆炸等危险情况;它的循环寿命长,能够经受多次充放电循环而性能不显著下降,可有效降低使用成本。但是,磷酸铁锂也面临一些挑战,如能量密度相对较低,在相同体积下所能存储的电能较少,限制了其在对能量密度要求极高的应用场景中的使用,同时,其导电性较差,会影响电池的充放电速率和功率性能,因此对磷酸铁锂的制备工艺还需要进行技术改进和优化。如今,各国对新能源产业的扶持政策不断增多,为磷酸铁锂相关产业的发展提供了有利支持,推动其市场规模不断扩大,因此对磷酸铁锂各指标进行评判具有重要意义,本文为探究磷酸铁锂材料的抗压性能,采用苏州利电的粉末压溃测试系统PMNS-100(设备图如下所示),对不用工艺下的磷酸铁锂样品进行测试表征。

Ø 测试方案:
1、测试样品:磷酸铁锂;
2、测试参数:
①粒径大小D50:8-9 μm;
②测试模式:加压模式0-50mN,速率:1μm/s。
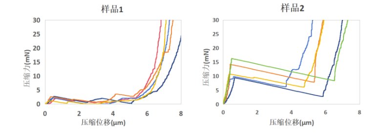
Ø 测试结果分析:

图1:不同粒径梯度下的硅样品的应力应变曲线图

图2:样品压溃前后图片&压溃力散点汇总图
由压溃力散点图可知,相同粒径梯度下的磷酸铁锂材料在压溃过程中表现出一定差异,样品1的压溃力均值为2mN左右,样品2的压溃力均值为12mN左右,压溃力大小分布呈现为样品2>样品1,可知样品2比样品1的抗压性能更好。
Ø 结论
在充放电过程中,电池内部材料会因化学反应等因素产生应力变化,具有良好抗压性的材料能承受这些应力,保持电极结构稳定,防止电极变形、破裂或粉化,从而延长电池使用寿命,因此材料的抗压性研究对提高电池性能具有重要意义。