多孔炭材料由于具有合适的表面化学性质、较高的电子传输速率、大的比表面积和孔隙率,易于发生嵌锂反应,可提供远高于石墨负极的充放电比容量。良好的导电性确保了有效的电子传输,高的比表面积可以与电解液进行充分接触,而大的孔隙体积使其能够容纳锂化过程中的体积变化,这些优点使多孔炭材料在锂离子电极材料中得到了广泛的应用。而电阻率是衡量粉末样品性能的重要参数,也是目前最受业内企业关注的参数。我们使用FDM-1650产品,对不同的多孔炭材料进行电阻率测试,可以对比出不同的多孔炭材料哪种的导电性能最优越。

测试方案:
测试样品:多孔炭;
测试原理:四探针模式;
测试参数:实验面积132.73mm2,样品量0.6g,采用变压模式进行测试,测试压强范围:10-350MPa,压强步进20MPa,保压时间10S。
测试次数:每个样品平行测试两次。
测试结果分析:

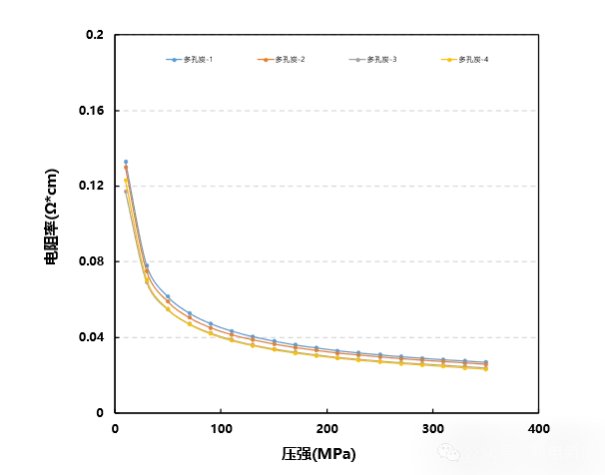
图1 压强VS电阻率

表 1多孔炭的电阻率
如上图表所示,多孔炭的电阻率在测试中随着压强的增大而减小,在350MPa压强下,电阻率大小:多孔炭-1>多孔炭-2>多孔炭-3>多孔炭-4。
由此可知,在大压强下样品多孔炭-4的导电性能最好。
结论
通过采用FDM-1650系列产品对不同的多孔炭粉末进行电阻率测试,可以测试出哪种多孔炭粉末样品在不同的压强下具有最好的导电性能。FDM-1650系列产品能够在不同压强下实时测试粉末材料电阻率,可以满足绝大部分粉末样品的在所需要的压强下进行电阻率测试。