早在20世纪70年代,硅作为一种锂存储材料就已受到研究者的关注。实际上,诸多电池开发人员早期首选的负极材料是锂金属,但由于锂金属负极在长期循环过程中存在诸如锂枝晶、粉化、死锂等一系列问题,同时,锂金属的价格高且波动大,再加上生产存储环境要求苛刻,人们开始寻找替代锂金属的负极材料,硅基材料就是其中最有希望的一类。
近年来,硅碳负极材料在动力电池领域的应用日益增强,年产量己突破千吨级别,并预期将逐步迈向万吨级规模。在消费电子市场,特别是在电动工具和智能穿戴设备中,硅基材料的应用比例也在稳步提高。电阻率和压实密度作为衡量粉末样品性能的重要参数,也是目前最受业内企业关注的参数。我们使用FDM-1650产品,对不同的硅碳材料进行测试,可以对比出不同的硅碳材料的电阻率和压实密度的差异。

Ø 测试方案:
测试样品:硅碳;
测试原理:四探针模式;
测试参数:实验面积201.06mm2,样品量1g,采用变压模式进行测试,测试压强范围:10-200MPa,压强步进20MPa,保压时间10S。
Ø 测试结果分析:

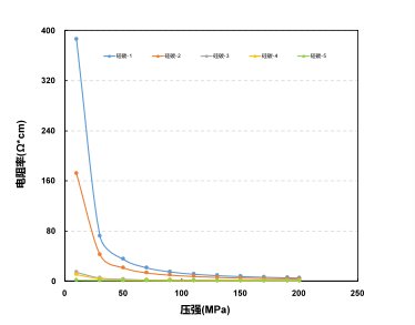
图1 压强VS电阻率

图2 压强VS压实密度
表 1硅碳的电阻率和压实密度

如上图表所示,硅碳的电阻率在测试中随着压强的增大而减小,压实密度随压强的增大而增大。在200MPa压强下,5个硅碳样品的电阻率大小:硅碳-1>硅碳-2>硅碳-3>硅碳-4>硅碳-5。5个硅碳样品的压实密度大小是:硅碳-5>硅碳-1>硅碳-2>硅碳-3>硅碳-4。
由此可知,在大压强下样品硅碳-5的导电性能最好,硅碳-5的压实密度最大。
Ø 结论
我们通过FDM-1650系列产品对不同的硅碳粉体进行电阻率和压实密度测试,可进一步明确材料导电性及压实性能随压强的变化关系,为高性能硅基体系筛选提供新的思路。