前言:隔膜离子电导率在电池技术中扮演着至关重要的角色,其重要性主要体现在以下几个方面:
一、影响电池内阻
隔膜离子电导率决定了离子在膜中传输的难易程度。高电导率的隔膜可以减少离子传输时的阻力,从而降低电池的内阻。在充放电过程中,低内阻意味着更小的能量损失,有助于提高电池的整体效率。
二、提高电池充放电性能
高电导率的隔膜允许离子更快速地通过,这直接提升了电芯的充放电速度。同时,高电导率还有助于减少离子在膜中的积聚,保持电池的容量稳定,延长电池的使用寿命。
三、增强电池安全性
隔膜的离子电导率还与电池的安全性密切相关。高电导率的隔膜可以更有效地分散离子,减少局部积聚的风险,从而降低电池内部短路和热失控的可能性。这对于提高电池在极端条件下的稳定性和安全性至关重要。
四、优化电池设计
通过选择具有合适电导率的隔膜,设计者可以平衡电芯的性能、安全性以及成本等因素,从而优化电芯的整体设计。这有助于生产出性能更优、成本更低的电池产品,满足市场需求。
五、影响电池循环寿命
隔膜的离子电导率还直接影响着电池的循环寿命。如果隔膜的离子电导率较低,离子传输的阻力会增加,导致电池内部的电压损失增大。这不仅会降低电池的循环寿命,还会影响电池的长期稳定性。
六、受多种因素影响
隔膜离子电导率的大小受到多种因素的影响,包括隔膜的材料、厚度、孔隙率以及电解液的性质等。因此,在设计和制造电池时,需要综合考虑这些因素,以获得最佳的离子电导率和电池性能。
综上所述,隔膜离子电导率是评价电池性能和安全性的重要指标之一,其重要性不容忽视。在电池技术的发展过程中,不断提高隔膜的离子电导率将是一个重要的研究方向。
1、 测试信息:隔膜:陶瓷隔膜、Celgard 2500,裁切成20mm直径圆片,反应面积为16mm直径的圆;电解液:常规电解液
2、 测试步骤:
1、在手套箱中,将隔膜放入治具(江苏利电)中,加入过量电解液使其完全浸没,浸润30min后测试EIS;
2、测试参数为频率100000~1HZ,扰动电压10mV;

3、测试原理:
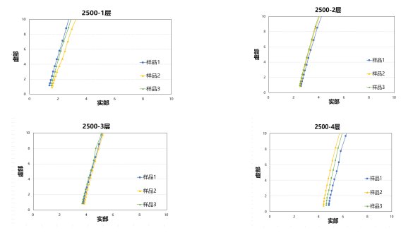
1、测试1-4层隔膜的阻抗,得到R1,R2,R3, R4;
2、以隔膜层数为横坐标,隔膜电阻为纵坐标做曲线,求出曲线斜率和线性拟合度,线性拟合度需≥0.99;
3、 根据下列公式计算离子电导率;

3、 实验数据:
Celgard 2500EIS测试结果:

陶瓷隔膜EIS测试结果:

数据整理:

实验结论:1.平行样之间COV值<5% 2.离子电导率2500<陶瓷
5、测试总结:本文通过测试隔膜离子电导率,可以评估隔膜的导电性能,可以更好评估其在电池中的离子传输效率,直接影响电池的性能、能量密度、安全性及使用寿命。高离子电导率意味着隔膜能更有效地促进离子在电极间的迁移,从而提升电池的整体效率和性能。