随着移动设备、电动汽车、能源存储等领域的飞速发展,锂离子电池的需求不断增加,追求更高的能量密度、更快的充电速度、更高的安全系数始终是锂电池研发人员的目标。锂离子电池充电时,正极产生的锂离子经过电解液嵌入负极,负极嵌入的锂离子越多,充电容量越高。负极材料主要影响锂离子电池的首次库伦效率、能量密度、循环性能等,是锂离子电池最重要的原材料之一,其中石墨以低成本、高能量密度、高功率密度等优势,牢牢占据其在负极材料的主导地位。我们使用FDM-1650产品,通过对几款不同工艺的石墨进行电阻率和压实密度测试,根据测试结果可以了解到不同工艺的石墨电阻率和压实密度存在差异。

Ø 测试方案:
测试样品:石墨;
测试原理:四探针模式;
测试参数:实验面积132.73mm2,样品量0.6g,采用变压模式进行测试,测试压强范围:10-350MPa,压强步进20MPa,保压时间10S。
测试频次:每个样品测试一组平行样。
Ø 测试结果分析:


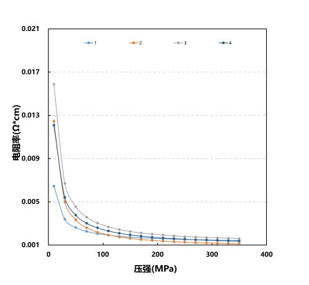
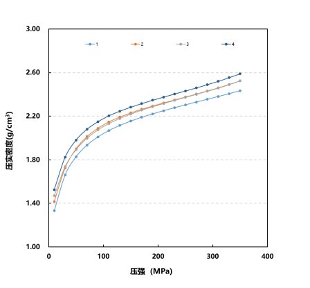
图 不同工艺的石墨电阻率/压实密度
表 不同工艺的石墨电阻率/压实密度

如上图表所示,石墨粉末的电阻率在测试中随着压强的增大而减小,压实密度随着压强的增大而增大,350MPa时,不同工艺的石墨样品有区分度。根据350MPa压强下的测试数据进行分析,从样品1和样品4可以观察到不同工艺的石墨在压实密度有很大差异的情况下,可以能做到电阻率一样小;同理,从样品2和样品3也可以观察出,具有相同压实密度的不同石墨样品其电阻率也会有区分。
Ø 结论
通过采用FDM-1650系列产品对不同工艺的石墨粉末进行电阻率、压实密度测试,从数据结果可以直观看出石墨样品在工艺改变后的电阻率、压实密度差异,可以帮助科研人员快速测得样品改性前后性能差异。FDM-1650系列产品能够实时测试粉末材料电阻率、压实密度,除了用于测试不同样品以区分样品种类或同一样品不同改性状态,还可以监测单一样品的长期稳定性,助力研发。