

步琦SFC系统
纯化利多卡因与乙酰氨基酚
SFC应用
1
简介
药物是一种由化学或生物来源制成的产品,用于人类或动物的医疗治疗,这些药物往往以化学合成的形式来生产。化学合成是一种通常伴随着杂质存在的过程,因为产率很少是 100%。这些杂质可能会对最终产品的疗效、安全性和质量产生重大影响。因此,对药物进行纯化以确保合成化合物的纯度和完整性是至关重要的,药物的纯化可以通过色谱法等多种方法进行。
最近,超临界流体色谱(SFC)已经作为一种替代反相液相色谱(RP-HPLC)的方法出现。SFC 使用超临界二氧化碳作为流动相的一部分,这是一种清洁且环保的溶剂,很容易从最终产品中去除。此外,SFC 结合了气相色谱和液相色谱的优点,在提供高分辨率的同时也能以更快的速度分离样品。
在 SFC 的方法开发过程中,最大的难点在于没有一种通用的固定相。因此需要在不同的固定相上进行筛选,以确定要分离的样品的最佳选择性。CO2 的低极性溶剂特性允许在色谱柱筛选时同时考虑非极性和强极性的固定相。在确定最佳固定相后,就可以进一步放大到制备规格。
在本次应用中,我们会例举利多卡因和乙酰氨基酚的合成案例,利用 SFC 系统来高效去除合成过程中的杂质,获取高纯度目标化合物。在这一过程中,需要先进行合适色谱柱的筛选,再放大至制备色谱的规格。
2
设备
BUCHI Sepmatix 8x SFC 8通道平行色谱系统
BUCHI Sepiatec SFC-50 超临界制备色谱系统
BUCHI PrepPure 硅胶,5um,250×4.6mm
BUCHI PrepPure 二醇基,5um,250×4.6mm
BUCHI PrepPure 氨基,5um,250×4.6mm
BUCHI PrepPure 2-EP,5um,250×4.6mm
HILIC柱,5um,250×4.6mm (Dr. Maisch GmbH)
BUCHI PrepPure PEI,5um,250×4.6mm
BUCHI PrepPure CBD,5um,250×4.6mm
氰基柱,5um,250×10mm ,(Dr. Maisch GmbH)
BUCHI PrepPure PEI,5um,250×10mm
BUCHI PrepPure 氨基,5um,250×10mm
3
化学品与样品
化学品:
二氧化碳 (99.9%)
甲醇 (≥99%)
甲醇溶液中2M的氨溶液
甲酸(99%)
去离子水
为了安全处理,请注意所有相应的MSDS!
样品:
乙酰氨基酚合成产物
利多卡因合成产物
4
程序设定
BUCHI Sepmatix 8x SFC平行色谱系统
流动相:A= 二氧化碳;B= 甲醇
柱尺寸:250×4.6mm
流速:3mL/min(每根色谱柱)
检测:DAD 紫外扫描 200 nm - 600 nm
流动相条件:
0−0.5min | 5%B |
0.5 – 8.0 min | 5 – 50 % B |
8.0 – 9.4 min | 50 % B |
9.4 – 9.5 min | 50 – 5 % B |
9.5 – 10 min | 5 % B |
筛选过程完全自动运行,流速设置为 3mL/min 每通道,使用流控单元,平衡每一根色谱柱。样品自动注入(V = 5 μL),并开始平行筛选(运行时间 =10min)。背压调节器设置为 150 bar,柱子加热至 32℃,可按需往改性剂中加入添加剂改善峰型。
BUCHI Sepiatec SFC-50超临界制备色谱系统
流动相:A= 二氧化碳;B= 甲醇
柱尺寸:250×10mm
流动相条件:等度运行条件
检测:紫外
所有 10mm ID 色谱柱都在预设流速下平衡 3 分钟,使用自动进样器上样,并开始运行。背压调节器设置为 150 bar,柱子加热至 40℃,可按需往改性剂中加入添加剂改善峰型。
5
结果
5.1 乙酰氨基酚
乙酰氨基酚(下称 AA),也常被称为对乙酰氨基酚,是一种镇痛剂、解热剂和手性药物。它属于非阿片类镇痛剂这一类。在化学上,它可以通过对氨基苯酚(下称 AP)与乙酸酐的反应来合成,在此过程中发生 N-乙酰化(见图1)。为了确定乙酰氨基酚合成产物的最佳纯化分离固定相,首先进行了柱筛选(见图1)。

▲ 图 1:顶部:乙酰氨基酚合成的反应方程式,底部:Sepmatix 8x SFC 仪器色谱柱筛选结果;从左到右:硅胶,氨基,二醇基,氰基,2-EP,HILIC,PEI和CBD;运行时间 = 10分钟。
图1显示,二醇基和 2-EP 相并未表现出分离度,硅胶相、CBD 相、氰基相和氨基相未显示出理想的分离度,因为它们无法实现基线分离。HILIC 和 PEI 相具有良好的选择性和分辨率,且分辨率始终远高于 1.5(见表1)。1.5 的分辨率意味着可以很好地分离 2 个峰。表1 还显示了洗脱顺序,氰基相显示出相反的洗脱趋势,对氨基苯酚先洗脱,然后是对乙酰氨基酚。筛选结果表明,反应并非百分之百完全,因为产物中仍含有大量对氨基苯酚。

▲ 表1:样品在不同固定相色谱柱条件下的分辨率值和洗脱顺序
选择 PEI 相色谱柱放大至制备规格,因为它具有最高的分辨率(见图2)。根据筛选时的色谱图,我们可以确定 AA 和 AP 在甲醇为 35−40% 之间洗脱。图2(顶部)显示了在 40% 甲醇等度条件下,在 10 x 250mm 的PEI 色谱柱上对 AA 进行纯化的情况,结果显示 AA 和 AP 可以非常良好地分离。因此在相同的条件下,可以实施一个堆叠注射方法,用于自动纯化并收集 AA (见图2,底部)。

▲ 图2:单次注射(顶部)和堆叠注射(底部)用于AA的纯化;运行条件:流速=30 mL/min, 甲醇= 40 %,温度 = 40 ℃,压力BPR = 150 bar,注射 = 250 µL,UV波长 = 254 nm;堆叠注射条件:注射次数 = 10,堆叠时间 = 1.8 min,Fractions = 1(基于时间的)。
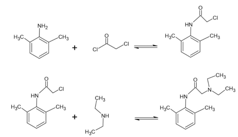
5.2 利多卡因
利多卡因(下称 L),化学名为 2-二乙基氨基 -N-(2,6-二甲基苯)乙酰胺,是一种用作局部麻醉剂和抗心律失常药物的药物,它作为钠通道阻断剂起作用。利多卡因可以通过两步合成过程生产(见图3)。第一步中,2,6-二甲基苯胺(下称 X)的氨基组团被酰化 。第二步中,中间产物(下称 IP)通过与二甲胺的亲核取代反应转化为利多卡因。因此,需要进行两步纯化过程。色谱柱筛选的结果如图3所示,筛选过程中,在改性剂甲醇中始终添加 20 毫摩尔氨水作为碱性添加剂。


▲ 图 3:顶部:利多卡因合成的反应方程式,底部:Sepmatix 8x SFC 仪器色谱柱筛选IP与利多卡因结果;从左到右:硅胶,氨基,二醇基,氰基,2-EP,HILIC,PEI 和 CBD;运行时间 = 10分钟。
从结果来看,所有色谱柱都可用于中间体 IP 的第一步纯化分离,因为都具有基线分离的效果。其中氨基相具有最高的分辨率,且在甲醇比例较低时就能出峰(见图3)。对于第二步利多卡因的纯化,氰基和CBD相无法实现基线分离,而氨基再次表现出最佳的分离度(见表2)。在洗脱顺序上,第一步中间体的纯化出峰顺序都是先 X 再 IP,而第二步的利多卡因的纯化除了硅胶相之外都是先 L 再 IP(见表2)。

▲ 表2:样品在不同固定相色谱柱条件下的分辨率值和洗脱顺序
最终选择 10 x 250mm 的氨基色谱柱进行制备纯化,因为它的分辨率总是最高的(见表2)。氨基柱筛选结果显示,X 和 IP 出峰时的甲醇比例约为 10 - 19%,L 和 IP 出峰时的甲醇比例约为 11 - 19%。图 4 a) 显示的是甲醇比例为 16% 等度条件下的 IP 的单次纯化分离图谱,图 4 b) 显示的是甲醇比例为 20% 等度条件下的 L 的单次纯化分离图谱。在相同的条件下,可以进行叠层进样分离,分别自动纯化 IP 和 L,并进行馏分收集(见图 4 c) 和 d))。

▲ 图4:中间体 IP 的单次进样(a)和叠加进样(c);运行条件:流速 = 20 mL/min,改性剂 = 甲醇 + 20 mM 氨水,改性剂 % = 16 %,温度 = 40 °C,压力 BPR = 150 bar,进样量 = 170 μL,紫外波长 = 254 nm;叠加进样条件:进样次数 = 15,叠加时间 = 0. 75 min, Fractions = 1 (基于时间); 利多卡因L的单次进样 (b) 和叠加进样 (d) ; 运行条件:流速 =20 mL/min, 改性剂 = 甲醇 + 20 mM 氨水, 改性剂 % = 20 %, 温度 = 40 °C 和压力 BPR = 150 bar, 进样 = 170 μL, 紫外波长 = 254 nm; 叠加进样条件:进样次数 = 20, 叠加时间 = 0.65 min, Fractions = 1 (基于时间)。
6
结论
在进行有机合成后,由于副反应或转化率未达到 100%,通常仍会存在杂质,这些杂质必须去除,尤其是在药品生产中。
在药物合成研发领域,时间与效率至关重要。BUCHI 的 SFC 色谱解决方案为研发人员提供了强大的工具,通过 Sepmatix 8x SFC 色谱柱筛选系统与 Sepiatec SFC-50 制备色谱系统相结合,可快速筛选出合适的色谱柱并线性放大至制备规格。SFC-50 的叠层进样功能,不仅能实现无人值守自动分离,还可显著提高分离效率,从而加快药物合成研发的速度。
7
参考文献
Medikamente & Medizinprodukte (admin.ch) (Status 23.11.2023).
PRACTICAL APPLICATION OF SUPERCRITICAL FLUID CHROMATOGRAPHY FOR PHARMACEUTICAL RESEARCH AND DEVELOPMENT, Vol. 14, M. Hicks and P. Ferguson, 2022 Elsevier Inc.
Th. Eicher und H. J. Roth; Synthese, Gewinnung und Charakterisierung von Arzneistoffen, Georg Thieme Verlag, Stuttgart (1986).
The synthesis of Lidocaine (University of San Diego).
Winterfeld, K. – Praktikum der organisch-präparativen Pharmazeutischen Chemie, 6. Auflage, Steinkopff Verl., Darmstadt (1965).
Axel Kleemann, Jürgen Engel, Bernd Kutscher und Dietmar Reichert: Pharmaceutical Substances, 4. Auflage, Georg Thieme Verlag, Stuttgart (2000).

长按上方二维码联系我们
或拨打联系电话:
400 - 880 - 8720
微信公众号
步琦智慧实验室
淘宝官方旗舰店
瑞士步琦