
BET理论是物理吸附的常用理论之一,用于测试材料比表面积。当大气压的变化影响BET测试时,如何调整实验分析以获得准确结果,通过此文了解。
一般对于大于7nm的介孔、大孔或无孔材料,多层物理吸附BET理论可以在满足一定条件的情况下,用于分析材料的BET比表面积,计算BET比表的公式如下:

其中Vm为单层饱和吸附量,C值为BET常数,和测试温度及材料有关。
而当测试环境的大气压发生改变时,液氮的沸点会相应变化。海拔上升,大气压下降,液氮沸点降低,反之则相反。图1为大气压范围内液氮温度。

图1.
所以,当测试环境的大气压发生改变,就会导致物理吸附测试温度发生改变,从而改变C值的大小。在不改变测试材料的前提下,C值随温度的改变符合以下公式(T为开氏文标):

可见液氮温度变低,会导致C的指数级变大。C值变大则会导致达到单层饱和吸附量Vm的吸附相对压力向低压区移动(见下图2中各曲线上红点的移动)。

图2. 不同 C 值对应的达到单层饱和吸附量时的相对压力
如果固定BET直线拟合需要的相对压力点的范围为0.05-0.35不变,考虑到C值的变化,则单层饱和吸附量对应的相对压力可能不再位于0.05-0.35的区间范围之内。这样会导致计算得到的BET比表面积不准确,需要在C值变化后的情况下,重新选取BET直线拟合需要的相对压力点的范围。具体选点操作,用户们可以使用Micromeritics仪器软件自带的BET自动找点功能Autofit完成。

图3. 麦克软件自带 BET 自动拟合功能 Autofit
此外,根据Emmet和Brunauer(1937)的工作,吸附在吸附剂表面的液氮分子截面积可通过下式计算:

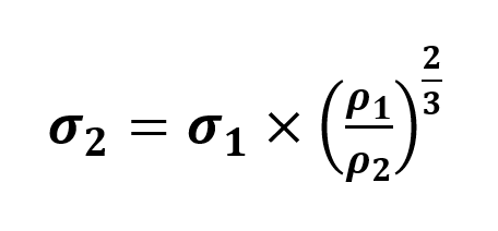
其中,f为堆积因子,M为分子量,ρ为液氮密度,L是阿伏伽德罗常数。当液氮(测试)温度发生改变时,ρ也会发生变化从而改变分子截面积σ。而分子截面积的改变会通过下式改变比表面:

液氮分子截面积和温度的关系为:

液氮分子在77.35K下的分子截面积为0.162 nm2。液氮的密度和温度的关系在75-80K范围内(一般地理环境下,大气压变化幅度不会导致液氮温度变化超过此范围)存在非常精确的拟合公式。举个例子,在大气压为600 mmHg和760 mmHg (1 atm)的两个地理位置,经计算,液氮分子截面积的变化率仅为0.27%。
综上所述,当实验发生地的地理环境(如海拔)发生变化,从而导致测试环境下大气压变化时,我们需要注意是否要改变实验设置的相对压力的范围,同时考虑修正液氮分子的截面积的必要性。