


转头的k值
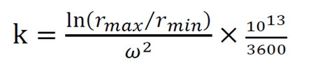
转头的k值(又称k因子或k系数)用以衡量转头的沉淀效率。所有的离心机厂家在转头出厂时都计算了制备型转头的k值,转头k值通过在转头运行至最高转速、离心管装满样品时计算得到的,其计算公式如下:


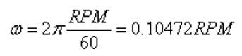
由于

将公式(2)代入公式(1)可得到以下转头k 值的计算公式:

由上得出转头k值是与转头的最高转速和形状有关。
最高转速完全一样的转头,离心管与轴的角度越小,也就是rmax/rmin 越小,k值就越小。所以制备型超速离心机的四类转头的k值如下:水平转头k值 > 定角转头k值 > 近垂直转头k值 > 垂直转头k值。
如果在离心时,转头没有运行到最高转速,那么rpm就不能使用最高转速的k值,必须将转头实际运行转速代入公式(3)来计算实际的k值。

离心时间
已知某转头k值和颗粒的沉降系数,可以计算出用该转头分离颗粒时所需要的时间。其公式如下:


由公式(5)可以看出,转头k值是评估转头离心效率的一个指标,对于沉淀同一颗粒,转头k值越小,颗粒沉淀所需要的时间就越短,也就是离心效率越高;反之,转头k值越大,颗粒沉淀所需要的时间就越长,转头的离心效率越低。
举例
分离沉降系数为15S的蛋白,如果用的转头k值是15,那么沉降该蛋白颗粒所需要的时间是:
t = k/s = 15/15 = 1 小时
如果用的转头k值是18,那么沉降所需的时间是:
t = k/s = 18/15 = 1.2 小时
已知一个转头k值和沉淀所需要的时间,如果用另一个转头来沉淀同样的颗粒,可以用以下公式来计算需要沉淀的时间:


如果该转头不是在最高转速下运行,或者样品没有装满,又或者换用了其他更小的离心管(例如g-MAX 管等),相应k值都会发生改变,相应离心所需的时间也需要重新计算。
综上所述
k因子已经综合考虑了离心的转速、相对离心力以及样品在最小半径和最大半径等位置的受力改变情况,还有颗粒沉降的行程等因素,是计算离心时间、评价转头离心效率的最准确和最重要指标。
