







关键词:氧化铝、纯度、Zeta电位
氧化铝是一种常见的无机氧化物,其广泛应用于陶瓷、医药、电子、机械等行业。氧化铝的纯度不同,应用的领域也有所差异,例如:99氧化铝瓷材料用于制作高温坩埚、耐火炉管及特殊耐磨材料,如陶瓷轴承、陶瓷密封件及水阀片等;95氧化铝瓷主要用作耐腐蚀、耐磨部件。物质的组成不同其表面带电也具有极大差别,包括电性和带电量,而表面带电情况将会影响材料的性能和应用领域。在这个应用中,我们考察了不同纯度的氧化铝材料在不同pH值环境中的Zeta电位。

原理和设备
采用丹东百特仪器有限公司的BeNano 90 Zeta 纳米粒度及 Zeta电位分析仪以及BAT-1自动滴定仪。
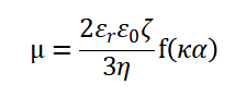
电泳光散射技术ELS是利用激光照射在样品溶液或者悬浮液上,检测前向角度的散射光信号。在样品两端施加一个电场,样品中的带电颗粒在电场力的驱动下进行电泳运动。由于颗粒的电泳运动,样品的散射光的频率会产生一个频移,即多普勒频移。利用数学方法处理散射光信号,得到散射光的频率移动,进而得到颗粒的电泳运动速度,即电泳迁移率μ。通过Herry方程,我们把颗粒的电泳迁移率和其Zeta电位ζ联系起来:

其中ε为介电常数,η为溶剂粘度,f(κα)为Henry函数,κ为德拜半径倒数,α代表粒径,κα代表了双电层厚度和颗粒半径的比值。
我们采用丹东百特仪器有限公司的BeNano 90 Zeta 纳米粒度及Zeta电位分析仪进行测试。仪器使用波长671nm,功率50mW激光器作为光源,设置在12度角的APD检测器进行散射光信号采集。采用PALS相位分析光散射技术,可以有效检测低电泳迁移率样品的Zeta电位信息。

样品制备和测试条件
分别将纯度为95%和99%的氧化铝,按照0.2mg/ml配比分散在蒸馏水中,使用50W超声波将其分散3min后得到两份平行样品。通过BeNano 90 Zeta 纳米粒度及Zeta电位分析仪和BAT-1自动滴定仪相配合,以样品分散后的pH环境为起点,使用HCl滴定液向低pH范围滴定,使用NaOH滴定液向高pH范围滴定,测试pH间隔为1,检测pH值设定在2-12之间Zeta电位的变化。
测试结果和讨论

图1.95%氧化铝和99%氧化铝Zeta电位pH滴定结果
物质的Zeta电位由其表面的化学组成和周围的液体环境决定,虽然这两个样品的主要成分都是氧化铝,但是其纯度有所差别,95%的氧化铝含有更多其他组分化学物质。通过图1对于两个不同纯度的氧化铝样品的Zeta电位pH滴定结果可以看到,使用同样的蒸馏水进行超声分散,95%氧化铝样品的初始pH值在10左右,悬浮体系呈现弱碱性,滴定曲线的等电点为7.86;而99%氧化铝的分散后悬浮体系为pH值在7附近的近中性体系,等电点为5.18。由此可以得出对于同一物质而言,其纯度不同,对其Zeta电位的影响是巨大的。